
Недорогой LCR-метр экономного класса обладает высокой точностью измерения (0,1%) и позволяет проводить измерения на тестовой частоте до 100 кГц. Имеет небольшие габаритные размеры и вес. Приборы имеют довольно высокую функциональность и встроенный компаратор, позволяющий проводить разбраковку электронных компонентов, а также имеет возможность подключения к ПК. Это незаменимый прибор для предприятий, имеющих ограниченный бюджет, которым требуется проводить тестирование электронных компонентов.
| Характеристика | Значение | |
|---|---|---|
| Измеряемые (тестируемые) параметры | |Z|, C, L, X, B, R, G, D, Q, ? | |
| Базовая точность измерения LCR параметров | 0,1% | |
| Тестовая частота | 10 точек: 50 Гц, 60 Гц, 100 Гц, 120 Гц, 1 кГц, 10 кГц, 20 кГц, 40 кГц, 50 кГц, 100 кГц | |
| Напряжение тестового сигнала | 0,1 Вскз, 0,3 Вскз, 1 Вскз | |
| Выходной импеданс | 30 Ом, 100 Ом | |
| Время измерения (раз/сек) на частотах 1 кГц | Быстрое: 20 Среднее: 8 Медленное: 2 | |
| Диапазон измерения LCR параметров | |Z|, X, R | 0,0001 Ом...99,999 МОм |
| C | 0,001 пФ...9999,9 мкФ | |
| L | 0,001 мкГн...99,999 кГн | |
| D | 0,0001...9,9999 | |
| Q | 0,0001...9999,9 | |
| ? (град) | -179,99°...179,99° | |
| ? (рад) | -3,1415...3,1415 | |
| ?% | -999,99%...999,99% | |
| Схема замещения | Последовательная, параллельная | |
| Выбор диапазона | Ручной, автоматический, удержание | |
| Режим запуска | Внутренний, ручной, внешний, по шине | |
| Усреднение | 1...99 | |
| Калибровка | Открытая, закрытая, полная частотная коррекция | |
| Математические операции | Абсолютное значение, ?% | |
| Схема измерения | 5-ти проводная | |
| Компаратор | 5 ячеек сортировки: 3 PASS, 1 FAIL, 1AUX | |
| Внутренняя память | 10 ячеек для файлов установок | |
| Интерфейсы | RS-232C, HANDLER, GPIB (опция) | |
| Режим отображения | Абсолютное значение, ?, ?% | |
| Дисплей | 5 разрядов, специальный ЖК с подсветкой | |
| Рабочая температура / влажность | 0°С-40°С, ?90%RH | |
| Питание | 198 В...242 В47,5 Гц...52,5 Гц | |
| Максимальная потребляемая мощность | ?30 ВА | |
| Габаритные размеры | 275 х 120 х 425 мм | |
| Вес | Около 3,8 кг | |
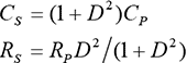
Реальные конденсаторы, резисторы и катушки индуктивности отличаются от идеальных. Обычно компоненты имеют характеристики резистора и реактора одновременно. Реальный компонент состоит из идеального резистора и реактора (индуктивности или конденсатора), соединённых по последовательной или параллельной эквивалентной схеме. Величины из двух различных эквивалентных схем могут быть преобразованы друг в друга по соответствующим формулам и отличаются за счёт параметров добротности (Q) и тангенса угла диэлектрических потерь (D).
| Схема | Тангенс угла диэлектрических потерь | Формулы преобразования | |
|---|---|---|---|
| C | ![]() | ![]() | ![]() |
| | ![]() | ![]() | |
| L | ![]() | ![]() | ![]() |
| | ![]() | ![]() | |
Примечание: L – ИндуктивностьC – Ёмкостьf – ЧастотаR – СопротивлениеD – Тангенс угла диэлектрических потерьQ – Добротностьиндекс «s» – эквивалентное последовательное сопротивление (serial)«p» – эквивалентное параллельное сопротивление (parallel).
Рекомендации при выборе эквивалентной схемы при измерении ёмкости:
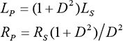
1. Можно выбрать эквивалентную схему в соответствии с тангенсом угла потерь (D) при двух различных частотах. Если D снижается при увеличении частоты, рекомендуется применять параллельную схему. Для индуктивности ситуация обратная. На самом деле D не находится в прямой зависимости от тестовой частоты. На рисунке приведена ситуация, когда последовательное (Rs) и параллельное (Rp) сопротивление существуют одновременно. Если Rs Rp, выбирается последовательная схема, если Rp Rs, то больше подходит параллельная эквивалентная схема.
Рис. 1. Эквивалентная схема реального конденсатора
где, Cx: идеальный конденсаторRx: сопротивление тестовых выводовLo: индуктивность тестовых выводовRp: сопротивление изоляции конденсатораCo: паразитная ёмкость конденсатора
Для заданной частоты (F) можно вычислить соответствующие значения ёмкости по последовательной (Cs) и параллельной (Cp) схемам.
2. Когда нет точной информации о характере реального компонента, есть правила:
– Для компонентов с низким импедансом (большие конденсаторы и маленькие катушки индуктивности), применяется последовательная эквивалентная схема.
– Для компонентов с высоким импедансом (маленькие конденсаторы и большие катушки индуктивности), применяется параллельная эквивалентная схема.
– Если конденсатор используется в качестве фильтра, наилучшим выбором является последовательная эквивалентная схема.
– Если конденсатор используется в качестве осциллятора в колебательном контуре, наилучшим выбором является параллельная эквивалентная схема.
Обращаем Ваше внимание на то, что информация размещенная на интернет-сайте носит ознакомительный характер и ни при каких условиях не является публичной офертой, определяемой положениями Статьи 437 ГК РФ.